1.Introducción.
El tema sobre el que gira el estudio que aquí se analiza pertenece al ámbito teórico de las artes de acción. El trabajo sitúa como principal objetivo la creación de una taxonomía completa y actualizada de este tipo de prácticas con el propósito de solucionar varios problemas de índole estructural y terminológica encontrados en este ámbito. Las expresiones que hasta el momento han servido para referirse a la obra de estos aristas, como performance, body art, happening, etc., esbozan un paisaje teórico lleno de limitaciones técnicas, además de obsoleto, marcado enormemente por las connotaciones formales e históricas que encarnan estos vocablos. La falta generalizada de consenso conceptual encontrada en la bibliografía y el hecho de tratarse de una de las disciplinas del arte contemporáneo más complejas y recientes hacen que en la investigación se plantee la necesidad de construir un mapa descriptivo del arte de acción que permita localizar sin trabas las peculiaridades esenciales y las diferencias básicas existentes en esta tipología artística.
Dicha confusión, en esencia, suele recaer del lado de la terminología utilizada por el crítico o el historiador que, a falta de un consenso, utiliza indistintamente un elenco de términos que no siempre son apropiados, pudiendo, a veces, llegar a ser contradictorios, debido, sobre todo, a que muchos de ellos corresponden a lógicas diferentes. (Cruz y Hernández, 2004:15)
![]() |
|
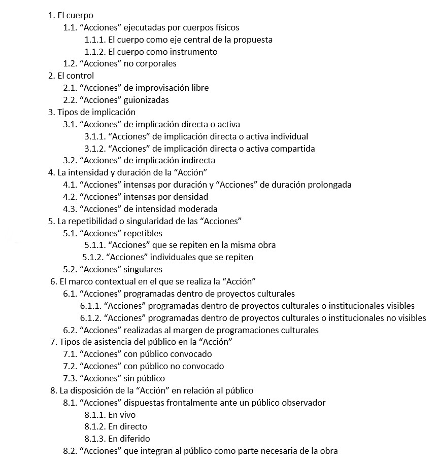
Taxonomía del arte de acción realizada por Fiacha O’Donnell (2020). |
Para componer esta clasificación se utilizan más de cien ejemplos reales de obras del contexto reciente del arte de acción en Madrid, comprendidas entre 1998 y 2018. A través de las acciones encontradas en el estudio se plantean comparaciones objetivas entre las piezas dando lugar a las distintas tipologías. En su gran mayoría, el material que se analiza en esta fase de la investigación surge del contacto directo que se establece entre el investigador y casi tres decenas de artistas y colectivos entrevistados exclusivamente para el trabajo. El objetivo de este artículo es evidenciar la eficacia de los protocolos técnicos cinematográficos empleados en la tesis como metodología de investigación científica. El documento escrito sepresenta conjuntamente de la mano de ocho capítulos de soporte videográfico-documental como parte fundamental de la propia investigación. La idea de producir varios filmes cinematográficos con el material obtenido durante el estudio de caso no cumple exclusivamente un papel de carácter divulgativo, ya que todo el proceso de compilación de la documentación y su posterior edición vertebran una de las líneas metodológicas más importantes del trabajo académico. También, se destacan las posibilidades que ofrece, en general, el medio audiovisual como herramienta enfocada a la docencia, así como instrumento de creación artística y presentación digital.
3. El método. Protocolos de grabación y edición audiovisual en una tesis doctoral.
Desde 2011 hasta 2017, se estuvieron realizando entrevistas presenciales a artistas que residieran o hubiesen desarrollado parte de su carrera en la capital española en los últimos veinte años (1998-2018), un total de veintiocho reuniones. Además de los testimonios registrados, cada autor/autora hizo una aportación libre de los trabajos artísticos que consideraba que podían ilustrar las ideas y conversaciones que habían tenido lugar. Casi todas las entrevistas fueron grabadas con una o dos cámaras de vídeo y las obras ofrecidas por los artistas suponían un gran número de fotografías y vídeos compatibles con los programas de edición de vídeo. De esta forma, la mayor parte del contenido a estudiar podía ser examinado y organizado en su propio formato digital, sin tener que hacer transcripciones completas de los textos, agilizando así todo el procedimiento de toma de datos. A continuación, se describe el protocolo que se siguió para ordenar, analizar y sintetizar todo el material obtenido durante el trabajo de campo (entrevistas y obras). Estos pasos se ejecutan habitualmente en los programas profesionales de postproducción de vídeo como parte de cualquier proyecto audiovisual, pero, en este caso, también formaron parte indispensable de la metodología académica, enriqueciéndola y acelerando la obtención de los resultados.
En primer lugar, se realizó un visionado rápido de todo el material para descartar aquellas partes en las que habla el entrevistador o se producen errores técnicos. En esta fase se mejoró la calidad del sonido y se hizo el etalonaje de la imagen. Posteriormente, se trabajó todo el contenido de las entrevistas de manera individual (se organizaron los vídeos, fotografías y testimonios obtenidos en los encuentros en diferentes carpetas individualizadas con los nombres de los artistas y colectivos en discos duros, y se ordenó en orden alfabético). Después de realizar este proceso, se hizo una evaluación de todo el material para determinar qué contenidos se consideraban relevantes para el estudio.
En un examen más profundo, se trabajó el texto (argumentos y anécdotas) obtenido en las entrevistas y se editaron los vídeos con vistas a crear un archivo digital conformado por el conjunto de las entrevistas, descartando relativamente poco material. También se seleccionaron los ejemplos de las acciones de los artistas (foto y vídeo) que mejor representaban los temas que iban apareciendo a lo largo de los discursos. Al final de cada uno de los documentales se añadió y concentró toda la información de las obras utilizadas en forma de créditos, citando los títulos, fechas y lugares de las acciones mostradas en el vídeo, así como los créditos de los temas musicales utilizados y los nombres de los compañeros y compañeras que colaboraron en las grabaciones. Las reuniones que solo fueron registradas con la grabadora de sonido también fueron editadas con ayuda de la documentación de las obras cedidas.
Una vez creado el archivo de artistas, en las dos primeras fases ya comentadas, se ordenó por temáticas todo el material, pudiendo combinar así los discursos de los entrevistados en un mismo proyecto. Es aquí cuando fueron corroboradas y contrastadas las principales líneas de investigación de la tesis, además de surgir nuevas tramas que no estaban contempladas en un inicio. En este punto, la edición se estableció en base a parámetros mucho más exhaustivos, teniendo que descartarse los diálogos repetitivos o que no introdujesen aportaciones de calidad al discurso general que se organizaba. También se editaron de un modo más conveniente las obras en vídeo de las acciones. A través de esta criba, se fueron distribuyendo los debates y los artistas en los diferentes capítulos de la serie documental. Se consideró esencial para el proyecto subordinar el tiempo de aparición de las personas y de las obras (el protagonismo de los autores) a la relevancia de los argumentos en relación a la tesis y a los temas que finalmente terminaron por marcar el estudio.
En la última fase se estableció de forma definitiva la narrativa del guión y se trabajaron los detalles técnicos más precisos. Algunas partes del material descartado fueron rescatadas para el apartado escrito de la investigación que completa este trabajo de campo. Las diferentes partes de la serie obtenida se dividieron en base a las distintas discusiones y reflexiones que dieron sobre el arte de acción, y como resultado final se obtuvieron ocho documentales de una duración media de cuarenta minutos. El tiempo total transcurrido para la creación de la serie documental es de aproximadamente nueve años.
En las conversaciones con los artistas fueron surgiendo de manera orgánica los temas que, posteriormente, dieron forma a la clasificación.Es importante destacar que los veintiocho encuentros producidos marcaron el rumbo y las decisiones tomadas en la investigación. Aunque se partiera de varias hipótesis, el carácter permeable de las entrevistas fue clave para trazar adecuadamente los perfiles de los artistas y encontrar las diferencias que se iban encontrando en los trabajos.
En el marco del arte se encuentran casos de acciones que tensan enormemente las fronteras entre lo público y lo personal. La crucifixión en un coche y el polémico disparo en el brazo de Cris Burden o el triste caso de la violación y el asesinato de la artista Pippa Bacca[1], que perdió la vida durante el transcurso de una de sus obras, son algunos de los ejemplos más extremos y famosos que motivaron la primera fase de la tesis, en la que se buscaban posibles relaciones de influencias entre la vida personal de los artistas y determinado tipo de acciones donde se fuerzan límites físicos, políticos, éticos o legales. A través de las entrevistas, se llegó a la conclusión de que, efectivamente, se establecen vínculos de retroalimentación entre este tipo de prácticas artísticas y el entorno privado de los artistas, pero al intentar localizar aspectos concretos las imprecisiones técnicas situaron los descubrimientos en un plano anecdótico, ya que se trataban, como mucho, de casos aislados difíciles de definir como particularidades específicas del ámbito del arte. Las nuevas problemáticas de índole terminológica surgidas en las charlas se impusieron provocando un giro radical en la investigación. A partir de este punto, se buscaron aspectos propios del arte de acción que marcaran diferencias importantes en los trabajos de los artistas, construyéndose de esta forma, y a base de ejemplos, las distintas categorías de la clasificación, que da cuenta de la gran complejidad artística que representa esta disciplina, muchas veces limitada y condicionada por los términos que suelen utilizarse.
El tema del cuerpo en el arte de acción es uno de los asuntos sobre los que más se ha escrito en la bibliografía relacionada con esta disciplina. Han sido creados por diferentes autores esquemas completos que dan prioridad al cuerpo del artista sobre otras cuestiones, situándolo como eje central de muchos trabajos. Se utilizan constantemente expresiones como Body art o arte del cuerpo para referenciar una tipología muy amplia del arte de la segunda mitad del siglo XX, ¿pero hasta qué punto este tipo de obras quedan sujetas a un momento histórico concreto, y en qué medida el cuerpo marca el rumbo conceptual de una acción en la actualidad? “El Body art es algo que ocurrió en aquella época, y habrá otras ‘Acciones’ que se hagan sin utilizar el cuerpo funcionalmente que no podamos llamarlas Body art” (Baena, 2014). Uno de los debates principales que se desarrollan entre los entrevistados cuestiona el protagonismo del cuerpo en el arte de acción, los clichés y las connotaciones históricas que giran en torno a este tema a día de hoy.
A veces te ven hacer trabajos y la gente cuando has acabado dice: ¿Eres budista?, ¿tienes relación con el budismo?, ¿has practicado el boxeo?, y dices: pues no, no tiene nada que ver. Has montado tu esquema visual, has montado tu historia, has realizado la acción. Y entonces la gente, a lo que vamos, intenta relacionar lo que no conoce con lo que ha vivido a ver si así encuentra la clave de lo que está pasando, de esta cosa que está haciendo este tío. (Llavata, 2011)
El público es uno de los elementos de la historia del arte de acción que no pueden pasar desapercibidos. Pretender abordar un estudio sobre un tipo de arte que se desarrolla, en su gran mayoría de veces, proponiendo encuentros en vivo -acciones- entre artistas y espectadores sin atender esta cuestión sería omitir una de las claves fundamentales para comprender las posibilidades que ofrece esta ecuación. ¿Pero es imprescindible que una acción se desarrolle frente a un público? El acercamiento hacia ese otro lado de lo que sucede cuando se realiza una acción revela que a veces el público participa activamente y que otras veces observa lo que ocurre como quien contempla un cuadro. En ocasiones está de frente, otras disperso, en la sala o en la calle, y, a veces, no está o estará en diferido.
Siempre he sido mal espectador, soy bastante mal espectador, pero conseguí ser un buen espectador cuando yo hacía performances, porque entonces empecé a darme cuenta de qué le pasaba a la gente, o sea, yo me convertí en espectador de lo que hacía la gente. Era como si yo hiciera algo para poder observar a la gente. Eso sí que me pareció quizá de lo más interesante de las performances. (Ivars, 2014)
Otro de los aspectos que establece diferencias notables entre las obras de arte de acción es el control. Existen ejemplos de acciones en las que el error, la improvisación o el descontrol pueden plantearse como ejecuciones válidas e incluso necesarias para la construcción del sentido de la pieza. Algunos artistas integran la espontaneidad en sus trabajos como uno de los elementos indispensables en su discurso conceptual, y otros que siguen una estructura clara diseñada para poder controlar todo lo que ocurre. “Descontrol no significa error”, subraya PAN (2017). A partir de estas ideas se plantean una serie de discusiones que ponen encima del tablero temas como el trabajo en el espacio público, donde todo puede ocurrir, la posibilidad de que el espectador pueda intervenir en la obra o no, o la seguridad y el control sobre los aspectos formales y conceptuales de la acción.
Una acción está atada siempre a una temporalidad y el arte de acción, por lo tanto, aborda pretendidamente y desde sus inicios históricos este factor como uno de los ejes conceptuales más evidentes. Pero trabajar en el arte desde planteamientos creativos efímeros no condiciona particularmente la durabilidad del acto ni su repetibilidad. En este sentido, se observan ejemplos extremadamente antagónicos. La performance como experiencia artística perecedera en la actualidad puede suponer simbólicamente una alternativa reivindicativa muy necesaria ante la pérdida del estado de consciencia del presente en una sociedad digital, capitalista y súper-productiva, que crea la ilusión de que todo se puede conservar y reproducir indefinidamente. Tal vez esta tipología del arte sea aún más pertinente a día de hoy que lo que lo fuera en sus inicios, ya que todo lo experimentado hoy es susceptible de ser grabado y aparcado para otro momento (Cueto, 2014). ¿Qué representan este tipo de actitudes hoy, dando por sentado que estas experiencias del arte no se puedan comercializar ni repetir?, ¿o sí se pueden comercializar y repetir? Los distintos posicionamientos de los artistas tejen un mapa amigable de diversas opciones, pero muchos de ellos consideran que se han de garantizar, necesariamente, ciertas coherencias en los trabajos. Aceptar sin justificación el rol de “el artista feriante” (Dávila, 2017) realizando este tipo de obras es caer en una contradicción, pero también se dan ejemplos donde se necesita, conceptualmente, repetir una misma acción o mantener una situación en el tiempo, a veces durante años. Este artículo insiste en el hecho de que la tecnología ha transformado por completo los supuestos sobre los que se construyeron las primeras manifestaciones del arte de acción. El uso de cámaras fotográficas y videográficas en las acciones es cada vez más común debido a la democratización tecnológica y, además, la hegemonía de internet y las redes sociales permite transmitir en tiempo real y a posteriori las propuestas a un público cada vez más numeroso. En la época actual, cualquiera puede aprender a manejar una cámara de vídeo o usar el teléfono móvil para documentar cualquier acción y después subirla a internet. En este contexto, es necesario revisar también las premisas clásicas que giran en torno a esta disciplina en relación a su documentación, ya que el paradigma ha cambiado por completo y el juego de lógicas que marca el rumbo de los nuevos trabajos es nuevo.
Las entrevistas parten de un planteamiento concreto de la escena del arte de acción, pero se terminan ampliando los discursos hacia temas e ideas aplicables a todo el ámbito del arte contemporáneo. Los distintos posicionamientos de los artistas sugieren que el marco contextual que rodea a los trabajos, oficial o alternativo, condiciona forzosamente las producciones debido al entorno en el que estas son desarrolladas. Los debates abren también una serie de reflexiones en torno a la institución Arte como paraguas, a veces protector y otras veces limitador.
Para entender correctamente las asociaciones que se establecen en la investigación entre la serie documental, el archivo audiovisual y los métodos científicos que se exigen académicamente en una tesis doctoral, es necesario plantear, de manera resumida, una serie de conceptos generales que rodean al arte de acción y al medio utilizado en la metodología. En la actualidad el lenguaje audiovisual está cada vez más relacionado con esta disciplina artística. A finales de los años cincuenta, la importancia se centraba en la naturaleza efímera del acto, el carácter presencial de los trabajos y el tema del cuerpo vivo por encima del registro de lo acontecido, de ahí que surgieran las famosas denominaciones live art, arte vivo, o body art, arte del cuerpo. En ocasiones, se fotografiaban o filmaban instantes a los que hoy podemos tener acceso gracias a las cámaras de entonces, pero este tipo de tecnología no gozaba del desarrollo que tiene ahora. A medida que se han ido volviendo más accesibles, las máquinas audiovisuales se han ido asociando de manera natural a los diferentes ámbitos, transformándolos. Hoy en día, la mayoría de las acciones son documentadas y expuestas en salas de arte, condicionando los valores y particularidades iniciales de la propia disciplina artística. A través de vídeos, fotografías y registros de sonido de gran calidad, se pueden presentar la mayoría de obras de los artistas en diferido, por no hablar del abanico de posibilidades mercantiles que se abren a partir de este tipo de medios, que consiguen objetualizar, en parte, las propuestas. Algunas acciones, incluso, dependen directamente de este tipo de recursos para construir su sentido conceptual, y también se dan ejemplos de acciones que se formulan a partir de registros audiovisuales de otras obras. El paradigma contemporáneo de las artes de acción es pues muy distinto al inaugural, siendo imprescindible para su estudio la asimilación de determinados conceptos vinculados al mundo de la imagen, el cine, internet, la sociedad del espectáculo, las redes sociales, el efecto viral, etc.
Una acción es una obra perteneciente al ámbito de las artes visuales, cuyo eje central gira alrededor de un acto realizado o dirigido por el artista o colectivo, y nunca en torno un objeto resultante de tal acto. En este sentido, resulta primordial diferenciar claramente la acción, la obra de arte a estudiar, de la documentación del acto, que, hasta que se demuestre lo contrario, solo representaría formalmente y parcialmente la obra; no sería la obra en sí misma. Es preciso aclarar que el conjunto de documentos; textos, fotografías, archivos de audio, objetos o vídeos que sirven para referenciar una acción en un estudio de estas características deberán cumplir un mínimo de criterios de validez.
![]() |
| Carlos Felices. Fucking (Botero) (2006). Paseo de la Castellana, Madrid. Fotograma extraído del documental Acción. |
En la foto se puede observar al artista Carlos Felices realizando una de sus acciones. Esta imagen es un fotograma del vídeo que registra la obra titulada Fucking (Botero), que tuvo lugar en 2006. El frame se utiliza en la tesis como documento acreditativo y referencia válida para hablar de la acción, que sirve de ejemplo en la taxonomía de la investigación. La distinción que se acaba de plantear entre la acción y el documento resulta una obviedad, pero es conveniente recordar en este punto que se pueden generan problemáticas sobre el valor artístico y la verosimilitud de los documentos. ¿Qué se vende y se expone cuando la pieza se realiza con la intencionalidad de ser efímera?, ¿cualquier documento aporta toda la información necesaria para acreditar su verosimilitud, o puede estar manipulando la realidad de lo que sucedió?
Las artes de acción nacen con la idea de crear un tipo creación perecedera no objetual que huyera de las lógicas especulativas del mercado del arte. A día de hoy, se asume esto como una batalla perdida, ya que museos, galerías y ferias de todo el mundo han demostrado que pueden adaptarse a lo que sea, y comprar y vender cualquier tipo de mercancía. En este contexto los medios audiovisuales cumplen una tarea fundamental en la exhibición y distribución del arte de acción, que, lejos de tratarse de una práctica artística marginal, como lo fuera en sus inicios, se ha convertido en una de las variantes propagandísticas más comerciales del ambiente cool de la alta cultura.
En Performer, el colectivo Cabello/Carceller aborda con sarcasmo las contradicciones de compra/venta/almacenaje de las performances en los museos. El trabajo que presenta el colectivo muestra las cavilaciones que hace una performer en los almacenes del museo, como si se tratara de un objeto más, creando la sensación constante de estar castigada en la sala eternamente.
Performer ironiza a través del absurdo sobre algunas de las problemáticas que rodean el intento de museificación de los trabajos performativos, analizando la dificultad de someter a las lógicas del mercado del arte y de la conservación proyectos intencionadamente desmaterializados y efímeros, que en sus orígenes transgredían esas mismas lógicas. Almacenada como una obra de arte más, y registrada junto al resto de ‘objetos’ en las dependencias de la colección del museo –sección escultura–, una performer pasa su tiempo leyendo y reflexionando sobre algunas paradojas que rodean a la práctica artística contemporánea. Observar su situación y rastrear sus pensamientos nos sirve para repensar las circunstancias aparentemente incoherentes y contradictorias a las que se ha visto conducida. Como proyecto artístico, Performer puede salir en préstamo para ser expuesto en otros espacios y/o museos diferentes. En esos casos, el vídeo se puede complementar con una puesta en acción de la performance que fue hipotéticamente adquirida por el museo en el que ha sido catalogada. La acción presenta a la misma performer que protagoniza el audiovisual paseando por la sala en penumbra mientras se proyecta el vídeo. Seleccionando a algunos de los asistentes, elige susurrarles una frase al oído o entregarles una tarjeta. En ambos casos, las dos frases con las que trabaja son intencionadamente ambiguas: “la performance soy yo”, “la performance eres tú”, frases que se activan en la interacción con el público.
Este proyecto, filmado en los almacenes de la colección del Artium de Vitoria, fue producido por Consonni. (Cabello/Carceller, 2013)
Fernando Baena explica en su tesis doctoral que “el hecho de contar una acción puede ser considerado desde el punto de vista del registro o memoria de la acción o bien como ‘obra’ en sí misma, o parte esencial de la misma, con el mismo derecho que cualquier acción discursiva” (Baena, 2013: 84). Por sí misma, la documentación no tiene valor artístico propio e independiente. Al asistir a una performance, cualquier persona del público puede sacar una foto con su móvil y el resultado no tiene por qué ser una obra de arte, a no ser que exista una intencionalidad explícita en este sentido y se consiga demostrar su autonomía como pieza artística. No obstante, este documento podría servir para ilustrar y aportar datos objetivos sobre la acción, y actuar como testigo/recuerdo de algo que ocurrió. Prueba su existencia. En la clasificación que se propone en la tesis se abordan necesariamente este tipo de conceptos relacionados con el valor artístico que puede o no tener un documento, pero lo que interesa ahora cuestionar es su posible veracidad de cara al papel que cumple en una investigación. ¿De qué manera las imágenes utilizadas en la tesis pueden llegar a ser aclaratorias en las problemáticas del estudio aportando la información que se necesita, y en qué medida su testimonio referencial es válido para la investigación?, ¿Hasta qué punto un documento es verosímil?, ¿Existen acciones que se hayan colado en la historia del arte como reales cuando no lo son gracias a una documentación falsa? Este artículo se centra en el valor documental que tienen estos elementos, independientemente de su potencial como artículos de arte. El objetivo es demostrar que los vídeos y fotografías que se utilizan en la investigación aportan datos fiables y que, además, sirven para resolver las cuestiones que surgen en el estudio.
Philippe Dubois identifica tres posicionamientos epistemológicos sobre el valor referencial y la verosimilitud de un documento fotográfico. En un primer análisis, Dubois (1986) habla del concepto de mímesis o espejo de la realidad vinculado a la fotografía. Uno debe hacer el ejercicio de retrotraerse a mediados del siglo XIX para entender, lejos del vínculo cultural que tenemos ahora con el mundo de la imagen, el entusiasmo que supuso el nacimiento de una tecnología capaz de copiar la realidad como jamás lo había hecho la pintura antes. Es lógico asumir que se hicieran este tipo de asociaciones básicas en las que se da por sentado que una imagen fotográfica representa, sin ningún género de dudas y de manera objetiva, el mundo real. La segunda visión se postula desde el cuestionamiento negacionista de la primera. En esta ocasión se plantea la imagen fotográfica como una interpretación o modificación de la realidad observada. El encuadre elegido, el instante captado, el foco de atención, todo aquello que se descarta del plano, etc., son componentes que desgastan la premisa de que todo acto fotográfico es un reflejo fidedigno de la materialidad del mundo. Estos planteamientos son trasladables al ámbito del documental cinematográfico, donde también se debaten estas ideas, ya que este género se ha caracterizado fundamentalmente por mantener un vínculo más objetivo con la realidad, por delante de otros géneros del medio -cine de ficción-. La tercera proposición se sitúa entre la primera y la segunda. La propia definición técnica del acto mecánico de fotografiar va ligada al enlace físico indiscutible que se establece entre la cámara y el referente, “la imagen es ante todo índex”, concluye Dubois (Dubois, 1986: 51).
![]() |
| Sin título. Imagen libre de derechos /CC obtenida de la web: http://www.piqsels.com/es/public-domain-photo-ffkqn |
Algunos de los testimonios recogidos durante el trabajo de caso son anécdotas o descripciones de actos que no cuentan con un soporte visual que acredite que lo contado realmente tuviera lugar. ¿Se le puede conceder una mayor credibilidad a una fotografía o a un vídeo que a la declaración verbal de un artista reconocido?
El fake es un recurso muy sonado últimamente (fake news) y que es utilizado en infinidad de ámbitos, desde el político al artístico, con la intención de manipular documentos audiovisuales para hacer creer a la gente en una ficción que no ha ocurrido a través de supuestas pruebas que acreditan, atestiguan, que algo pasó. La diferencia fundamental entre un fake y los géneros convencionales de ficción del cine es que en estos últimos se dan un gran número de evidencias que muestran la construcción de una clara irrealidad. Por el contrario, en un fake, se oculta, se desplaza o se manipula alguna información para tenderle una trampa al espectador, tratando de aparentar, precisamente, una realidad que no es como si lo fuera. Los medios tecnológicos que nos rodean en la actualidad y la libre creación y distribución del contenido que deambula en internet hace que la apariencia de los límites entre realidad y ficción cada vez sea más difusa. Entonces, ¿podría un artista construir un fake sobre una acción?
Pierre Saurisse señala:
En tanto que documento, la fotografía, presupone generalmente autenticidad. Pero, al privilegiar un momento de la acción ocultando el resto, ha supuesto la creación de mitos y la trasmisión de datos falsos en la historia de la performance, como la amputación de Rudolf Schwarzkogler, que nunca tuvo lugar; la entrada de Valie Export en un cine pornográfico armada y con el sexo al aire en General Panic; o el Salto al vacío de Yves Klein, que contó con un equipo de personas preparadas para recibirle en su caída.(Saurisse, 2010: 35)
No se puede afirmar categóricamente que toda la documentación audiovisual de una acción acredite que lo ocurrido tuvo lugar. Por lo tanto, en la investigación se tuvo que llevar a cabo un análisis fundamentado en múltiples factores que determinaba, caso por caso, si el documento era lo suficientemente creíble como para ser utilizado en la tesis. No obstante, hay que decir que la mayoría de los archivos contaban con una serie de evidencias tajantes, como la aparición en cámara de testigos (público), lugares reconocibles y reconocidos tanto en el sector artístico como en el espacio público -como en la obra arriba mencionada de Carlos Felices Fucking (Botero)-, o la existencia de noticias oficiales vinculadas a las acciones en prensa y programaciones culturales. También, hay que añadir que una de las particularidades de este trabajo es que prácticamente todas las experiencias artísticas que en él aparecen son apoyadas por los testimonios de los artistas, que fueron contactados personalmente de manera directa. Además, muchos de ellos cuentan con una trayectoria profesional importante que avala la documentación recopilada.
4. Conclusiones.
Los medios audiovisuales son herramientas cada vez más presentes en el área de las artes de acción. La mayor parte de los trabajos de los artistas se documentan y exponen a través de vídeos, fotografías y registros de sonido. Toda investigación requiere de un proceso de recopilación de datos, una indagación profunda en un tema determinado capaz de obtener la información suficiente para confirmar una hipótesis. Los programas de edición de vídeo no solo permiten registrar todo lo encontrado durante esta búsqueda, sino que, además, esta metodología despliega gran un número de herramientas tecnológicas que agilizan la obtención de resultados, reuniendo toda la documentación en un mismo lugar, pudiéndose ordenar, priorizar, clasificar y sintetizar el material de manera muy eficaz. En combinación con la parte escrita de la tesis, la edición de vídeo ha supuesto un complemento perfecto para unir/mezclar libremente los archivos fotográficos y videográficos con los testimonios -más de sesenta horas texto hablado- en un mismo espacio editable. Todo el contenido recogido en el trabajo de campo ha sido seleccionado y estudiado en el propio programa de edición, reduciendo drásticamente los tiempos de actuación necesarios para ello. Además de poder abarcar mucho más en menos tiempo, este método permite que también se pueda apreciar el propio proceso de la investigación, no solo los resultados, y cómo las propias conversaciones con los artistas fueron componiendo orgánicamente la estructura de la clasificación que se ofrece en la tesis, influyendo enormemente en los temas de interés que el estudio fue abordando durante su desarrollo.
Tanto en la serie documental como en los reportajes individuales se utilizan vídeos e imágenes de acciones de los artistas, los cuales son utilizados para la elaboración de la taxonomía en la tesis. Pero estos documentales también sirven como presentación de resultados, difusión y obra audiovisual autónoma. Por todo ello, se convierte en una excelente forma de transmitir el conjunto de ejemplos, discursos y debates sobre arte que ofrece el trabajo, trascendiendo, incluso, el tema particular de la tesis. Como instrumento docente y de divulgación se puede utilizar para impartir talleres, conferencias y asignaturas sobre arte contemporáneo, pudiéndose adaptar también a los diferentes medios digitales, tan necesarios en la época actual.
La investigación teórica escrita, la serie documental audiovisual y el archivo completo de entrevistas elaborado en la tesis podrá ser encontrado próximamente en la página web de la productora 38 Editions, así como en las distintas redes sociales asociadas al proyecto bajo el título Documental ACCIÓN.
[1]“Era un trabajo basado en la confianza en los demás". Así sintetiza Rosalia Pasqualino di Marineo el motivo que condujo a su hermana menor Giuseppina, más conocida por el nombre artístico de Pippa Bacca, hasta Turquía, donde fue violada y asesinada. La artista, que tenía 33 años y vivía en Milán, era sobrina del creador conceptual Piero Manzoni. (Bosco, 2008)





